๊ฐ์
๋์งํธ ์์์ผ๋ก๋ถํฐ ์๋ฏธ์๋ ์ ๋ณด๋ฅผ ์ถ์ถํ๊ธฐ ์ํ ์ผ๋ จ์ ๊ณผ์ ์ ๋ฐฐ์๋ณด๊ณ ์ ํ๋ค. ์ง๋ ์๊ฐ์๋ ์นด๋ฉ๋ผ์ ์ด๋ป๊ฒ ๋น์ด ๋ค์ด์ค๊ณ ์์์ผ๋ก ๋ง๋ค์ด์ง๋์ง ์์๋ดค๋ค. ์ด๋ฒ ์๊ฐ์๋ ์๋ฏธ ์๋ ์ ๋ณด๋ฅผ ์ถ์ถํ๊ธฐ ์ํ ์์์ฒ๋ฆฌ ๊ฐ์๋ฅผ ์ ๋ฆฌํด๋ณด๊ณ ์ ํ๋ค.
์๊ตฌ๋๋ ํต๊ณ์ง์
Big data: ๋ค์๊ณผ ๊ฐ์ ๋ด์ฉ์ ํ์ ํ๋ ๊ฒ์ด ํ์ํ๋ค
- Shape (ํํ, ๋ชจ์)
- Mean (์ค์ฌ ์์น)
- Variance (์ฐํฌ)
๋ฐ์ดํฐ์ ํํ๋ฅผ ์์๋ณด๋ ๋ฐฉ๋ฒ
- Graph (๊ทธ๋ํ)
- Table (ํ)
- ๋ํ๊ฐ (ํ๊ท , ๋ถ์ฐ, ํ์ค ํธ์ฐจ ๋ฑ)
์ฃผ์ด์ง ๋ฐ์ดํฐ๋ฅผ ์ง๊ด์ ์ผ๋ก ์ดํดํ ์ ์๋ ๊ทธ๋ํ์ ํํ๊ฐ ๋ฐ๋ก ํ์คํ ๊ทธ๋จ์ด๋ค.
ํ์คํ ๊ทธ๋จ
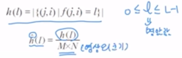
ํ์คํ ๊ทธ๋จ์ ์ฃผ์ด์ง ์ ๋ ฅ์์์์ ๊ฐ ๋ช ์๊ฐ์ ํด๋น๋๋ ํ์๊ฐ์ด ๋ช๊ฐ๊ฐ ์๋์ง ํ์ธ ํ๋ ๊ฒ์ด ํ์คํ ๊ทธ๋จ์ด๋ค. ํ์คํ ๊ทธ๋จ ์ ๋ณด๋ฅผ ํตํด ์ด๋์ ํ์ฉํ ์ ์๋์ง ํ์ธ ํด๋ณธ๋ค.
Histogram
(1) Data
- ์๋ง์ ๋ฐ์ดํฐ๋ก ๋ถํฐ ๋์๋ฅผ ์ ์ํ๋ค.
- ๋์๋ ๋ฐ์ดํฐ๋ฅผ ํน์ ๊ธฐ์ค์ผ๋ก ๋ถ๋ฅํ ๊ฒ์ด๋ค
- ์์์ฒ๋ฆฌ์์์ ๋์๋ ๋ค์ด์ค๋ ํ๋ฐฑ์์์์์ ๋ช ์๊ฐ์ [0~255]๋ผ๊ณ ์๊ฐํ์ ๋
- 0๋ถํฐ 7 ํน์ 10๋จ์ ๊ฐ์ ๊ธฐ์ค์ผ๋ก ๋์ด์ ๋ถ๋ฅํ ์ ์๋ค.
(2) ๊ฐ ๋์์ ํด๋น๋๋ data์ ๊ฐ์ Counting
(3) Countingํ ๊ฐ์ ๋ง๋ ๊ทธ๋ํ ํํ๋ก ๋ํ๋ธ ๊ฒ์ด ํ์คํ ๊ทธ๋จ์ด๋ค.

- ํ์คํ ๊ทธ๋จ : ๊ฐ ์ฃผ์ด์ง ์์์์์ ๋ช ์๊ฐ์ด ์ด๋ค ํํ๋ฅผ ๊ฐ์ก๋์ง๋ฅผ ๋ํ๋ด๊ณ ์ ํ๋ ๊ฒ
- ์ฑ ์ ์ ์: 0~255 ์ฌ์ด์ ๋ช ์๊ฐ์ ๊ฐ์ง๊ณ ์๋ ์์์์ ๊ฐ ๋์์ ํด๋น๋๋ ๊ฒ์ด ๋ช๊ฐ์ ํ์๋ฅผ ๊ฐ๊ณ ์๋์ง ํํํ๋ ๊ฒ
- ์ฆ, M x N ํฌ๊ธฐ์ 2์ฐจ์ ์์์ด ์์ ๋ ๊ฐ ํฝ์ ๋ง๋ค 0~255 ์ฌ์ด์ ๋ช ์๊ฐ์ ๊ฐ๊ณ ์๋ค๊ณ ํ์.
- ์์์ ๋์๋ค๋๋ฉด์ ๊ฐ ๋์์ ํด๋น๋๋ ๊ฒ์ ์ธ์ด์ ๋ง๋ ๊ทธ๋ํ๋ก ๋ํ๋ด์ด ๋ฐ์ดํฐ์ ๋ถํฌ๋ฅผ ๋ณธ๋ค.

๋ฌผ๋ก ๋์ ๊ธฐ์ค์ ๋ฐ๊ฟ์ ๋์์ ๊ฐ์๋ฅผ ์ ์๋ ์๋ค.

๊ฐ๋จํ ๋งํด [0, L-1] ์ ๋ง์กฑํ๋ ๋ช ์๊ฐ์ ๊ฐ์๋ฅผ ์ ์ฒด ์์์์ ์ธ๋ ๊ฒ์ด๋ค.

์ฃผ์ด์ง ์์์์ M๊ณผ N ๊ฐ์ ์์์ ํฌ๊ธฐ์ ๋ฐ๋ผ ํ์คํ ๊ทธ๋จ์ ๋ชจ์์ด ๋ฌ๋ผ์ง ์ ์๋ค. ๋ฐ๋ผ์ ์์ ํฌ๊ธฐ์ ๋ํ ๋ช ์๊ฐ์ ๋น์จ๋ก ํํํ์ฌ ์ ๊ทํ ์ํค๋ฉด ์ ์ฒด ์์์ ๋๋นํ ๋ช ์๊ฐ์ ๋ถํฌ๋ฅผ ์์์ ํฌ๊ธฐ์ ์๊ด์์ด ๋ณผ ์ ์๊ฒ ๋๋ค.
ํ์คํ ๊ทธ๋จ์ผ๋ก ํ์ ํ ์ ์๋ ๊ฒ ๋ญ๊น์?

๋๊ฐ์ง ์์๋ฅผ ๋ณด์. ์์ชฝ์ ๊ทธ๋ํ๋ ์ ์ฒด ํฝ์ ๋๋น ์ด๋์ด ๋ช ์๊ฐ์ ๋น์จ์ด ๋ง๊ธฐ ๋๋ฌธ์ ์ด๋์ด ๋ถ์๊ธฐ์ ์์์ผ ๊ฒ์์ ์ถ์ธกํ ์ ์์ผ๋ฉฐ ์๋์ ๋ถํฌ๋ ๊ทธ ๋ฐ๋๋ก ๋ฐ์ ๋ถ์๊ธฐ์ ์์์ผ ๊ฒ์ด๋ค.
ํ์คํ ๊ทธ๋จ์ ํ๊ท ์ ์ฎ๊ฒจ์ ์ ์ฒด ์์์ ๋ถ์๊ธฐ๋ฅผ ๋ฐ๊ฑฐ๋ ์ด๋ก๊ฒ ์กฐ์ ํ ์๋ ์๋ค!
ํ์คํ ๊ทธ๋จ์ ์ด๋ป๊ฒ ๊ณ์ฐํ ์ ์์๊น?

- ์ ๋ ฅ์ [0~255]๋ฅผ ๋ง์กฑํ๋ M x N์ ๋ง์กฑํ๋ ํ๋ฐฑ ๋ช ์ ์์์ด๋ค. ์ปฌ๋ฌ ์์์ ๊ฒฝ์ฐ R, G, B ์ฑ๋์ ๊ฐ๊ณ ์์ผ๋ฉฐ ๊ฐ ์ฑ๋์ ๋ํ ํ์คํ ๊ทธ๋จ ๋ถํฌ๋ฅผ ๊ณ์ฐํ๋ฉด ๋๋ค.
- ์ถ๋ ฅ์ ๋ช ์๊ฐ์ ๋น๋์๋ฅผ ์์ํฌ๊ธฐ๋ก ๋๋์ด [0, 1]๋ก ์ ๊ทํ ์ํจ ํํ์ ํ์คํ ๊ทธ๋จ์ด๋ค.
- ๋น๋์๋ฅผ ๊ธฐ๋กํ 0~255 ์ธ๋ฑ์ค๋ฅผ ๊ฐ๋ ์ผ์ฐจ์ ๋ฐฐ์ด์ ์์ฑํ์ฌ ๊ฐ์ 0์ผ๋ก ์ด๊ธฐํ ์ํจ๋ค.
- ๊ฐ ํ์๊ฐ์ ์ธ๋ฑ์ค๋ก ๋ฐ์์ ๋ฐฐ์ด์ ๊ฐ์๋ฅผ ๋์ ํ๋ค.
- ๋ชจ๋ ํ์๊ฐ์ ๊ฐ์๋ฅผ ์ธก์ ํ๋ค๋ฉด 0~1์ฌ์ด ๊ฐ์ ๊ฐ๋๋ก ์ ๊ทํ ์์ผ์ค๋ค.
์ฐ์ตํด๋ณด๊ธฐ!

- ์ ๋ฌธ์ ์ ๊ฒฝ์ฐ M๊ณผ N์ด 8์ธ ์์ฃผ ์์ ์์์ด๋ฉฐ L์ด 8์ด๊ธฐ ๋๋ฌธ์ ๊ฐ ์์์ ๋ช ์๊ฐ์ [0, 7] ๋ฒ์๋ฅผ ๋ง์กฑํ๋ค.
- ๋ช ์๊ฐ ๋ฒ์๋ฅผ ์ธ๋ฑ์ค๋ก ๊ฐ๋ ์๋ก์ด ๋ฐฐ์ด์ ๊ฐ์ด 0์ ๊ฐ๋๋ก ์ด๊ธฐํ ์ํจ๋ค.
- 2์ฐจ์ ์์์ ๊ฐ ํฝ์ ์ ์ํํ๋ฉด์ ์์์ ์์ฑํ ๋ฐฐ์ด์ ํ์๊ฐ์ ๊ฐ์๋ฅผ ์นด์ดํ ํ๋ค.
- ๋ช ์๊ฐ ๊ฐ์๋ฅผ ์ธ๋ ๋ฐฐ์ด์ ๊ฐ ์ธ๋ฑ์ค ๋ณ๋ก ์์ ํฌ๊ธฐ์ ๊ฐ์๋ก ๋๋์ด์ ์ ๊ทํ ์ํจ๋ค.
ํ์คํ ๊ทธ๋จ์ ํตํด ๋ฌด์์ ์ป์ ์ ์๋๊ฐ?

์ ์์์์ ๋ง์ฝ ์ฐ์ธก ์์์ ๊ธฐ๋ฐํ์ฌ ์์ฑ๋ ํ์คํ ๊ทธ๋จ๋ง ์ฐ๋ฆฌ์๊ฒ ์ฃผ์ด์ก๋ค๊ณ ํ๋ค๋ฉด ๊ฐ ์์๋ณ๋ก ๋ค์๊ณผ ๊ฐ์ ๋ด์ฉ์ ์ถ์ ํด๋ณผ ์ ์์ ๊ฒ์ด๋ค.
- ์ฒซ๋ฒ์งธ ์์์ ํ์คํ ๊ทธ๋จ์ด ๋์ฒด์ ์ผ๋ก ์ด๋์ด ์ชฝ์ ๋ชฐ๋ ค์๊ธฐ ๋๋ฌธ์ ์ ์ฒด์ ์ธ ๋ถ์๊ธฐ๊ฐ ์ด๋์ธ ๊ฒ์ด๋ค.
- ๋๋ฒ์งธ ์์์ ์ ์ฒด์ ์ผ๋ก๋ ๋ฐ๊ณ ์ด๋์ด ์ ๋๊ฐ ๊ณ ๋ฅด๊ฒ ๋ถํฌ๋์ด์์ง๋ง ๋์ฒด์ ์ผ๋ก ์ด๋์ด ๋ถ์๊ธฐ์ผ ๊ฒ์ด๋ค.
- ์ธ๋ฒ์งธ ์์์ ํน์ ๋ช ์๊ฐ์ ๊ฐ๊ณ ์๋ ์์๋ค์ด ๋ถํฌ๋์ด์์ ๊ฒ์ด๋ค.
ํ์คํ ๊ทธ๋จ ๋ถํฌ๋ฅผ ํตํด ์ ์ฒด์ ์ธ ๋ถ์๊ธฐ๋ฅผ ํ์ ํ๋๋ฐ ์ ์ฉํ๊ฒ ์ฌ์ฉ๋๊ณ ์๋ค.
์์ ์ฒ๋ฆฌ์ ๋์ ํด๋ณด์!
ํ์คํ ๊ทธ๋จ ํํํ (Histogram Equalization, Histogram Stratching)

ํน์ ์์ญ์ ๋ชฐ๋ ค์๋ ๋ช ์๊ฐ์ ์์ชฝ์ผ๋ก ๋๋ ค์ฃผ์ด ์์์ ํ์ง์ ๋ํ๋ ค๋ ์๋ ๋ฐฉ๋ฒ์ด๋ค. Equalization๊ณผ Stratching์ ์๋ก ๋ค๋ฅธ ๋ฐฉ๋ฒ์ ํตํด ๋ช ์๊ฐ์ ๋๋ ค์ค๋ค๊ณ ํ๋ค.
- Histogram Stratching์ ์ฃผ์ด์ง ์์์์ ์ต์๊ฐ๊ณผ ์ต๋๊ฐ์ ํ์ฉํ์ฌ ๊ณจ๊ตฌ๋ก ๋น๊ฒจ์ค๋ค.
- Histogram Equalization์ ๋ช ์๊ฐ์ด ๋ง์ด ๋ชจ์ฌ์๋ ๋ถ๋ถ์ ์ง์คํ์ฌ ๋น๊ฒจ์ค๋ค.

๋์ ๋ฒ์๋ ํ์คํ ๊ทธ๋จ์ด ๋ง์ด ๋ชจ์ฌ์๋ ๊ณณ ๋ช ์๊ฐ์ ๋ถํฌ๊ฐ ๋ง์ ๊ณณ์ ๋ก๊ฒจ์ค๋ค. ๊ทธ๋ผ ๋ง์ด ๋ชจ์ฌ ์๋ ๊ณณ์ ์ด๋ป๊ฒ ๊ตฌํ๋๊ฐ? ๋์ ํ์คํ ๊ทธ๋จ์ ๊ณ์ฐํ์ฌ ๊ธฐ์ธ๊ธฐ๊ฐ ๋ง์ด ๋ณํ๋ ๊ณณ์ ์ฐพ์ผ๋ฉด ๋๋ค.
๋์ ํ์คํ ๊ทธ๋จ์ ๋งคํ ํจ์๋ก ์ฌ์ฉํ๋ค๋ ๊ฒ์ ์์์ ํด์ค์ ์์ด์ ๋์ ํ์คํ ๊ทธ๋จ์ ๊ฐ์ค์น ๊ฐ์ ์ค์ ๊ฐ์ค์น๊ฐ ํฌ๋ฉด ๋ง์ด ๋ก๊ฒจ์ฃผ๊ณ ์ ์ผ๋ฉด ์ด์ง ๋ก๊ฒจ์ค์ผ๋ก์จ ์์์ด ๊ณ ๋ฅด๊ฒ ํด์ง ์ ์์ ๊ฒ์ด๋ค.
I_out(ํํํ๋ ๊ฐ) = T(I_in) = round( c(l_in) ๋์ ํ์คํ ๊ทธ๋จ * (L-1 ์ฃผ์ด์ง ์์ [0, L]) )
์ฐ์ตํด๋ณด๊ธฐ!

- ์ฒซ๋ฒ์งธ๋ ์์ ๋ณธ ์์์ ๋ํ ์ ๊ทํ๋ ํ์คํ ๊ทธ๋จ์ ํํํ ๊ฒ์ด๋ค.
- ๋๋ฒ์งธ๋ ๋์ ํ์คํ ๊ทธ๋จ์ด๋ค (3, 4 ์ฌ์ด์ ๋ง์ ๋ถํฌ๋ฅผ ๊ฐ๊ณ ์์์ ์ ์ ์๋ค.)
- 7์ ๊ธฐ์ค์ผ๋ก ๋์ ํ์คํ ๊ทธ๋จ์ ์ฌ์ฉํ์ฌ ๋น์จ์ ๊ณ์ฐํ๋ค.
- ์์์ ์ค์๊ฐ์ผ๋ก ํํํ์ง ์๊ธฐ ๋๋ฌธ์ ์์์ ๋ฏธ๋ง ์ ์ญํ๋ค.
- ๊ฒฐ๊ตญ l_in์ ํด๋น๋๋ ๊ฐ์ ใ ฃ_out์ผ๋ก ๋ฐ๊ฟ์ค๋ค๋ ์๋ฏธ์ด๋ค.
๋ค์ ๊ณ์ฐํ ํ์คํ ๊ทธ๋จ ๋ถํฌ๋ฅผ ๋ณด๋ฉด ํ์คํ ๊ทธ๋จ์ด ์ข๋ ์๋งํด์ก๋ค๋ ์ ์ ์ ์ ์๋ค. ์์์ด ๊ณ ๋ฅด๊ฒ ๋ช ์๊ฐ์ ๊ฐ๊ฒ๋๋ค. ์์๋ฅผ ์ดํด๋ณด์!

์์์ ์ดํด๋ณด๋ฉด ์ผ์ชฝ๋ณด๋ค๋ ๋ช ์๊ฐ์ ํด์ค์ผ๋ก์จ ์ค๋ฅธ์ชฝ์ด ์ ๋ช ํด ๋ณด์ธ๋ค. ํ์ง๋ง ์ธ์ ๋ ์ข์ ๊ฒฐ๊ณผ๋ฅผ ๋ถ๋ฌ์ค๋ ๊ฒ์ ์๋๋ค.

์ข์ธก์ ์์์ ๋ณ๋์ ๋ณด์ ์์ด๋ ํ์คํ ๊ทธ๋จ์ด ๊ณ ๋ฅด๊ฒ ํผ์ ธ์์ง๋ง ์ฐ์ธก์ ์์์ ๋ณด์ ์ ํจ์ผ๋ก์จ ๋ฐ๊ณ ์ด๋์ด ๋ถ๋ถ์ด ๊ฐ์กฐ๋์์ผ๋ฉฐ ๋ถ์์ฐ์ค๋ฝ๊ฒ ๋ณด์ธ๋ค. ์ฐ์ธก๊ณผ ๊ฐ์ ๊ฒฝ์ฐ "Saturation ๋์๋ค" ๋ผ๊ณ ํํํ๋ค.
ํ์คํ ๊ทธ๋จ์ ์์ฉ
ํ์คํ ๊ทธ๋จ ์ญํฌ์๊ณผ ์ผ๊ตด ๊ฒ์ถ์ ํด๋ณด์!

- ์ญํฌ์: ์ฃผ์ด์ง ์์์์ ์ฌ๋์ ํผ๋ถ์์ ๋ํ ํ์คํ ๊ทธ๋จ ๋ถํฌ๋ฅผ ์์๋ณด๊ณ ์ด์ ์ ์ฌํ ๊ฐ์ 0~1์ฌ์ด์ ํ๋ฅ ๊ฐ์ผ๋ก ๋ํ๋ด๋ณด์
- ํ์คํ ๊ทธ๋จ ์ญํฌ์์ ์ด๋ฏธ ์๊ณ ์๋ ์์์ผ๋ก๋ถํฐ ์ด๋ฏธ ์๊ณ ์๋ ์์ญ์ ๊ฐ์ ๊ฐ์ง๊ณ ์ ์ฌํ ๋ถํฌ๋ฅผ ๊ฐ๊ณ ์๋ ํ๋ฅ ๊ฐ์ผ๋ก ๋ํ๋ด๋ณด์
์๋ฅผ๋ค์ด ์ฃผ์ด์ง ์์์์ ํผ๋ถ์์ด ๋ช ์๊ฐ 127 ~ 156์ ๊ฐ๊ณ ์๋ค๊ณ ์ ์ํ์ ๋ ์ฃผ์ด์ง ์ ๋ ฅ ์์์์ ์ด์ ๊ฐ์ ๊ฐ์ ๊ฐ๊ณ ์๋ค๋ฉด ๋์ ํ๋ฅ ๊ฐ์ ๊ฐ์ง๋ฉฐ ๊ด๋ จ ์๋ค๋ฉด ๋ฎ์ ํ๋ฅ ๊ฐ์ ๊ฐ๋๋ก ํํํด๋ณด์!
์ฐ์ ๋ชจ๋ธ ์์์์ ์ฌ๋๋ค์ ์ผ๊ตด ์์์ ๋ฝ์์ ํผ๋ถ์์ HS 2์ฐจ์ ์๋ถํฌ๋ฅผ ๋ฝ๋๋ค.

2์ฐจ์ ํ์คํ ๊ทธ๋จ์ ๋ง๋๋ ๋ฐฉ๋ฒ์ ๋ค์๊ณผ ๊ฐ๋ค. ์ด์ ์ ๋ณธ 1์ฐจ์ ๋ฐฐ์ด์์ 2์ฐจ์ ๋ฐฐ์ด๋ก ๋ฐ๋ ๊ฒ์ด ํน์ง์ด๋ค.


๋ชจ๋ธ ์ผ๊ตด๋ก๋ถํฐ hm ๋ชจ๋ธ๊ฐ์ ๋ง๋ค์ด๋ณด์! ์ฃผ์ด์ง๋ ์ ๋ ฅ ์์๊ณผ ์ ์ฌ๋๋ฅผ ๋น๊ตํ์ฌ ๋์ผ๋ฉด 1 ๋ฎ์ผ๋ฉด 0์ ๊ฐ์ ๊ฐ๋ ๋ชจ๋ธ์ ํตํด ์ผ๊ตด์ ๊ฒ์ถํ ์ ์์ ๊ฒ์ด๋ค.

์ฐ์ ์ฃผ์ด์ง ์์์ผ๋ก๋ถํฐ ์ด๋์ ๋ ํ๋ฅ ๊ฐ์ ๊ฐ๋์ง ํ์ธํ์ฌ ๊ฐ ์์๋ค์ ์ฝ์ด์ ๊ทธ ์์๊ณผ ๋ด๊ฐ ๋ง๋ค์ด ๋ ํ๋ฅ ๋ชจ๋ธ๊ณผ ๋น๊ตํ๋ฉด

๋ชจ๋ธ๊ณผ ์ ์ฌํ๋ฉด 1 ๋ฉ์ด์ง๋ฉด 0์ด ๋์ค๋๋ก ํ์ฌ ์์์ ์ฝ์ผ๋ฉด ํผ๋ถ์๊ณผ ์ ์ฌํ ์ ๋ณด๋ฅผ ๋ฝ์ ์ ์์ ๊ฒ์ด๋ค. ํ์ง๋ง ์ปฌ๋ฌ๊ฐ์ ์กฐ๋ช ์ ๋ฏผ๊ฐํ๊ธฐ ๋๋ฌธ์ ๊ฐ์ง์ ์ ํ๋๊ฐ ๋จ์ด์ง ์ ์๋ค.
์ด์ง ์์
ํ์คํ ๊ทธ๋จ ์ ๋ณด๋ฅผ ๊ฐ๊ณ ์์์ฒ๋ฆฌ๋ฅผ ํ ์ ์๋ค. ํ๋ฐฑ์์(Gray Image)์ด ์ฃผ์ด์ง ๋ 0 ๋๋ 255 ๋๊ฐ์ง ๊ฐ๋ง ๊ฐ๊ณ ์๋ ์์์ผ๋ก ๋ง๋๋ ๊ฒ์ ์ด์ง ์์์ด๋ผ๊ณ ๋ถ๋ฅธ๋ค. ์ฉ์ด๊ฐ ์ด๋ ค์ธ ์ ์๋๋ฐ ํ๋ฐฑ์์์ 0~255 ์ฌ์ด ๋ชจ๋ ๊ฐ์ ๊ฐ๋๋ค๋ ์ ์ ๊ธฐ์ตํด๋์!
์ด์ง์์์ ํ๋ฐฑ์์์ ๋ํ์ฌ ํน์ ๊ธฐ์ค์ ํตํด 0 ํน์ 255๋ก ๋ช ์๊ฐ์ ์ค์ ํ๊ฒ ๋๋ฉฐ ์ฃผ์ํ๊ฒ ์๊ฐํด๋ณผ ์ ์ ์ด๋ป๊ฒ ์ค๋ ์ฌ ํ๋๋ฅผ ์ค์ ํ ์ง ๊ณ ๋ฏผํด๋ณด๋ ๊ฒ์ด๋ค.
์ฃผ์ด์ง Gray Image๋ฅผ Binary Imag๋ก ๋ง๋๋ ๊ฒ์ ์ด์งํ ๋ผ๊ณ ๋ถ๋ฅธ๋ค.

ํน์ ๊ธฐ์ค์ ์ก์์ ๋น์ด ์๋๊ฐ ์๋๊ฐ๋ฅผ ๊ตฌ๋ถํ๋ ์์์ด๋ค.

์๊ณ๊ฐ์ ํต๊ณ์ ๊ฐ๋ ์ ํตํด ์ด์งํ ์์ผ์ฃผ๋ ์๊ณ ๋ฆฌ์ฆ์ผ๋ก ์ค์ธ ์๊ณ ๋ฆฌ์ฆ์ด ์กด์ฌํ๋ค!

๋ฐ์์ ์๊ณ์ ์ ์ข์ธก๊ณผ ์ฐ์ธก์ด ๊ท ๋ฑํ๊ฒ ๋ถํฌํ๋๋ก ์ค์ ํ๋ ๊ฒ์ด ์ด ์๊ณ ๋ฆฌ์ฆ์ ๋ชฉํ์ด๋ค. ๋ง์น ์์ ๋์ด๋ฅผ ์๊ฐํด๋ณผ ์ ์๋ค. ๋ฌด๊ฑฐ์ด ์ฌ๋๊ณผ ๊ฐ๋ฒผ์ด ์ฌ๋์ฌ์ด์ ํ์ ๊ท ํ์ ์ด๋ฃจ๋๋ก ๋ง๋ค์ด์ฃผ๋๋ก ๋ฐ์นจ์ ์ ์ก์๋ณธ๋ค๊ณ ์๊ฐํ๋ฉด ํธํ๋ค.

์์ ๋น์ ๋ฅผ ํต๊ณ์ ์ผ๋ก ์ ๊ทผํ๋ ค๋ฉด ์ด๋ป๊ฒ ํด์ผํ ๊น?

์ข์ธก๊ณผ ์ฐ์ธก์ ๋ํ ๋ถ์ฐ๊ฐ์ด ๊ท ์ผ(์ ์ฌ)ํ ๋ ๊ท ํ์ ์ด๋ฃฌ๋ค. ๋ฐ๋ผ์ ์ผ์ชฝ๊ณผ ์ค๋ฅธ์ชฝ์ ๋ถ์ฐ๊ฐ์ ๊ตฌํ์ฌ ๋ถ์ฐ๊ฐ์ด ๊ท ์ผํ ํน์ฑ์ ๊ฐ๋๋ก ํ๋ T๋ฅผ ๊ตฌํ๋ ๊ฒ์ด๋ค.




์ค์ธ ์๊ณ ๋ฆฌ์ฆ์ ํตํ ์ด์งํ ๊ฒฐ๊ณผ๋ ๋ค์๊ณผ ๊ฐ๋ค.

'๐ฅ Computer Science > Computer Vision' ์นดํ ๊ณ ๋ฆฌ์ ๋ค๋ฅธ ๊ธ
| [Computer Vision] Filter - Part 1 (0) | 2021.09.14 |
|---|---|
| [Computer Vision] Histogram - Part 2 (0) | 2021.09.09 |
| [Computer Vision] Color (1) | 2021.09.07 |
| [Computer Vision] Image Processing - Part 2 (0) | 2021.09.04 |
| [Computer Vision] Image Processing - Part 1 (0) | 2021.09.04 |