λ°μν
Overview
- λμ§νΈ μμμΌλ‘λΆν° μμμ μ€μν νΉμ§(Feature)μ μ΄λ»κ² λ½μ κ²μΈκ°?
- νΉμ§μ΄ 무μμ΄λ©° μ΄λ»κ² λ½μλΌ κ²μΈκ°λ₯Ό 곡λΆν΄λ³Έλ€.
- μ£μ§λ κ°μ₯ μ€μν νΉμ§ μ€ νλμ΄λ€.
- μμμμ μ£μ§λ 물체μ κ²½κ³λ₯Ό νμν΄μ£Όλ κ²μ΄λ©° 물체μ λν κ²½κ³λ μ‘°λͺ κ³Ό κ°μ΄ λ€μν νκ²½μ κ°μΈνλ€.
- λ°λΌμ λ΄κ° μνλ 물체λ₯Ό κ²μνκ±°λ λ§€μΉν λ μ©μ΄ν μ λΆ νΉμ 곑μ μΌλ‘ λ³νν μ μλ€.

- μ£μ§λ μ΄λ€ λͺ μκ° λλ 컬λ¬κ°λ€μ λ³νκ° ν° μ§μλ€μ λͺ¨μλ νΉμ§λ€μ μλ―Ένλ€.
- μ£μ§μ 보λ λ§€μΉ νΉμ νΉμ§μ μ°Ύλλ° μ€μνκ² νμ©λ μ μλ€.
- νμ§λ§ μΌλΆ λ겨μκ±°λ λͺΈμ²΄ λΆλΆμ λΆνμν μ£μ§κ° κ°μ§λ μ μλ€.
- λ°λΌμ μ¬λμ΄ μ μμ μΌλ‘ μΆμΆλμ§ μλλ±μ μ€λ₯κ° λ°μν μ μλ€.
- μ¬λμ μΌκ΅΄ λΆλΆμ μΌλΆ λ겨μλ λΆλΆμ μ€μ’ λ μ£μ§λΌκ³ λΆλ₯Έλ€. (κ±°μ§ λΆμ )
- μ¬λμ λͺΈμ²΄ λΆλΆμ λΆνμν λΆλΆμ΄ μμΌλ©° κ±°μ§ μ£μ§λΌκ³ λΆλ₯Έλ€. (κ±°μ§ κΈμ )
μ€μ’ λ μ£μ§μ κ±°μ§ μ£μ§μ μ€λ₯λ₯Ό μ΅μννμ¬ μ°λ¦¬κ° μνλ μ£μ§ μμμ λ½μλΌ μ μμκΉ?
- μμμμ μ£μ§λ₯Ό μ΄λ€ μκ³ λ¦¬μ¦μ μ¬μ©νμ¬ κ²μΆν΄λΌ κ²μΈκ°?
- κ·Έ μ€μμ μ κ΅μ°¨μ΄λ‘ μ΄ λ¬΄μμΈκ°?
- μΌλ μ£μ§κ° μΌλ°μ μΈ μ£μ§ κ²μΆκ³Ό 무μμ΄ λ€λ₯Έκ°?
- Gray μ΄λ―Έμ§μμμ μ£μ§ κ²μΆμ λν΄ κ³΅λΆν΄λ³Έλ€.
- μ»¬λ¬ μ΄λ―Έμ§μμμ μ£μ§ κ²μΆμ λν΄ κ³΅λΆν΄λ³Έλ€.

- μ£μ§μ μλ―Έμ μ΄λ€ κ°λ μ ν΅ν΄ λΆμ¬λλμ§ μ΄ν΄ν΄λ³΄μ!
- 물체μ λ΄λΆλ λ°°κ²½μ λ³νκ° μμ§λ§ 물체 μ¬μ΄μ κ²½κ³λ λͺ μ (intensity) λ³νκ° ν¬λ€.
- μ΄ μ리μ λ°λΌ μ£μ§ κ²μΆ μκ³ λ¦¬μ¦μ λͺ μ, μ»¬λ¬ λλ ν μ€μ²μ λ³νλμ μΈ‘μ νμ¬ μ£μ§λ₯Ό κ²μΆνλ€.
- λͺ μ, 컬λ¬, ν μ€μ²μ λ³νλμ μ΄λ€ κΈ°μ€μ ν΅ν΄ μΈ‘μ νλμ§ μμλ΄μΌ νλ€.
- λ³νλμ΄ ν° κ³³μ μ£μ§λ‘ κ²μΆν κ²μ΄λ€.

- μ μμμμ κ²μ μμΌλ‘ ννλ λΆλΆλ€μ΄ μ λΆ μ£μ§ μμμΌλ‘ ννλ μ μμΌλ©° λ€μκ³Ό κ°μ μ₯μ μ΄ μλ€.
- surface normal discontinuity : μ£μ§λ₯Ό ꡬν¨μΌλ‘μ¨ λ¬Όμ²΄μ λ°°κ²½μ ꡬλΆν μ μλ κ²½κ³κ° μ 곡λλ€.
- depth discontinuity : μ΄λκ° μμ΄κ³ μ΄λκ° λ€ λΆλΆμΈμ§ ꡬλΆν μ μλ€.
- surface color discontinuity : κΈμμ λν μ£μ§λ₯Ό ꡬνμ¬ ν° λ¬Όμ²΄μ λ΄λΆμ λ¬΄μ¨ λ¬Όμ²΄κ° μλμ§ κ΅¬λΆν μ μλ€.
- illumination discontinuity : λ½μ μ£μ§λ‘ λΆν° μ΄λμ μ‘°λͺ μ΄ μλμ§ μ μ μλ€. μ½ν΅, AOT κΈμ§ κ·Έλ¦Όμλ₯Ό ꡬλΆν μ μλ€.
- μ£μ§ μ±λΆμ΄ 물체μ νΉμ§μ μ°Ύκ±°λ ν¨ν΄μ μΈμν λ λ§€μ° μ€μν μ±λΆμΌλ‘ μ¬μ©λ μ μλ€.
μ£μ§λ μ΄λ€ κΈ°μ€μ κ°κ³ λͺ μ νΉμ ν μ€μ³μ λ³νλμ μΈ‘μ νλκ°?
- μ£Όμ΄μ§ μμμμμ λ―ΈλΆ μνμ κ°λ μ ν΅ν΄ λͺ μμ λ³νλμ μΈ‘μ νλ€.
- κ° μ£μ§ λͺ¨λΈκ³Ό μ΄λ€ μ°μ°μκ° μλμ§ μ΄ν΄λ³Έλ€.
- μ£μ§ κ°λμ λ°©ν₯μ λν΄ μ΄ν΄λ³Έλ€.

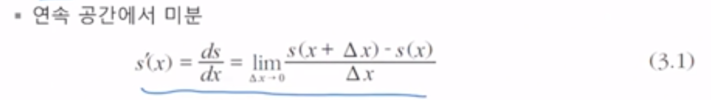
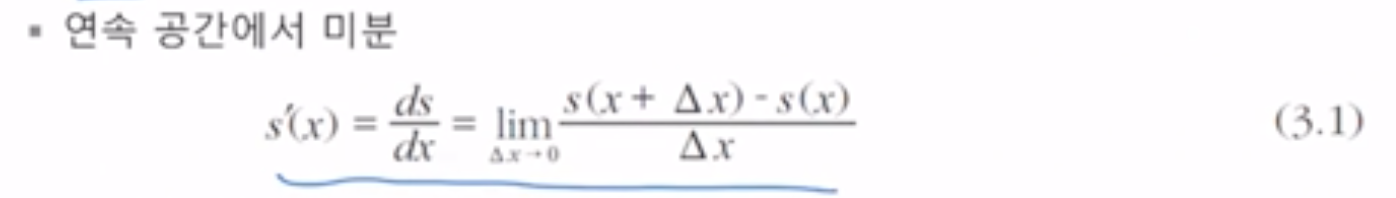
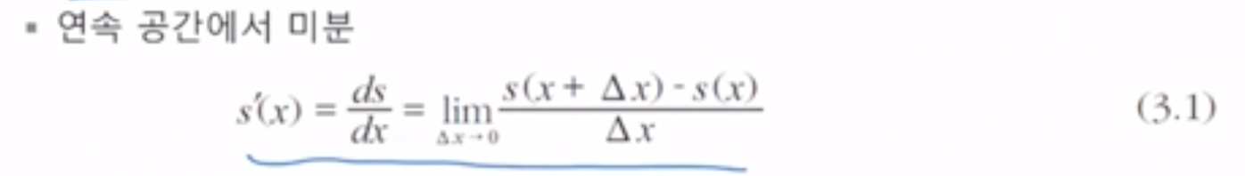
λμ§νΈ μμμμ λ―ΈλΆμ μ΄λ»κ² μ μλκ³ μλκ°?
- μΌμ°¨μ μ°μ κ³΅κ° μμμμ λ―ΈλΆμ λ€μκ³Ό κ°μ΄ μ μλλ€.
- s'(x) : xμΆ λ°©ν₯μΌλ‘ sλ₯Ό λ―ΈλΆνλΌ.
- λ―ΈλΆ : xμ κ·Ήμν μ°¨μ΄κ° λλ λΈν xμ§μ κ³Όμ λ³νλ λΈν sκ° μΌλ§λ§νΌμΈκ°?


- μ°λ¦¬κ° λ°μ§κ³ μλ κ²μ νμλ‘ κ΅¬μ±λ 2μ°¨μμ λμ§νΈ μ΄λ―Έμ§μ΄λ€.
- 2μ°¨μ μ΄λ―Έμ§λ μ΄μ° 곡κ°μμ μ μλμ΄μλ€.
- xμΆ λ°©ν₯λ§ λ°μ Έλ³΄μμ λ μΈμ ν λ ν½μ μ¬μ΄μ λ³νλμ λ€μκ³Ό κ°μ΄ μ μνλ€.


- (x+λΈν x) μ§μ μ λͺ μκ°κ³Ό (x) μ§μ μ λͺ μκ°μ μ°¨μ΄λ₯Ό λΈν xκ°μΌλ‘ λλ μ€λ€.
- λμ§νΈ μμμμ λΈν xκ° κ°μ₯ μμ κ²½μ°λ 1μ΄λ€. (ν½μ νλ μ°¨μ΄)
- f(x+1) - f(x) μ¦, μ΄μνλ ν½μ μμμ λͺ μκ°μ μ°¨μ΄κ° λμ§νΈ μμμμμ λ―ΈλΆμ΄λ€.
- [-1, 1]μ μ¬μ©νμ¬ νν° μ°μ°μ λ리λ κ²κ³Ό κ°μ μλ―Έμ΄λ€.

- μ λ°©μ μ²λΌ νν°λ₯Ό λν¨μ μ²λΌ μ¬μ©ν μ μμΌλ©° λ―ΈλΆ κ°μ κ³μ°ν μ μλ€.
- λ―ΈλΆ κ°μ μ λκ°μ μμμ μ€λ μ€νλ 2λ₯Ό κΈ°μ€μΌλ‘ μ΄μ§νλ₯Ό μννλ©΄ μμ κ°μ΄ κ³μ°ν μ μλ€.
- κ²°κ³Όμ μΌλ‘ 5λ²μ§Έ μΈλ±μ€ 5λ₯Ό κΈ°μ€μΌλ‘ μ’μΈ‘κ³Ό μ°μΈ‘ μμμΌλ‘ ꡬλΆν μ μκ² λμλ€.
- μΈλ±μ€ 5κ° μμμ λλλ κΈ°μ€μ΄ λ μ μκΈ° λλ¬Έμ λ―ΈλΆμ ν΅ν΄ μ£μ§λ₯Ό μ°Ύλλ° νμ©ν μ μλ€.
μ£μ§λ₯Ό μ°Ύλ λ° μμμ μΈκΈλ κ°λ μ νμ©ν΄λ³΄μ!
- μ£Όμ΄μ§ 2μ°¨μ μμμ μμ κ°μ λ°©μμΌλ‘ λ―ΈλΆνλ€.

- λͺ μκ°μ λ°ννλλ° μμ΄μ μ£μ§λ₯Ό λκ°μ§ λͺ¨λΈλ‘ λλμ΄ λ³Ό μ μλ€.
- κ³λ¨ μ£μ§λ λͺ μκ°μ μ°¨μ΄κ° ν¬κ² λ³νλ κ²μ΄λ€.
- λ¨ν μ£μ§λ λͺ μκ°μ μ°¨μ΄κ° μμν λ³νλ κ²μ΄λ€.

- κ³λ¨ μ£μ§λ₯Ό ν΅ν΄ νλ² λ―ΈλΆνμ λ 4μ κ°μ΄ νλ κ°μ΄ λ°μλλ€λ©΄ μ£μ§κ° μμμ μ μ μλ€.
- λ¨ν μ£μ§μμλ 0μ΄ μλ μ¬λ¬κ°μ κ°μ΄ λμ€κΈ° λλ¬Έμ μ£μ§κ° λκΊΌμμ§λ€.
- λ°λΌμ λ¨ν μ£μ§μμλ νλ² λ λ―ΈλΆνμ¬ λ¨νμ μμκ³Ό λ μ μμ μ£μ§λ₯Ό ꡬν μ μλ€.

- μ£Όμ΄μ§ μμμμ 1, -2, 1 νν°(λν¨μ)λ₯Ό μμ°λ©΄ μ΄κ³λ ν¨μλ₯Ό νλ²μ κ³μ°ν μ μλ€!

- λ¨ν μ£μ§λ₯Ό νλ² λ―ΈλΆνλ©΄ μ΄μ κ°μ λ΄μ°λ¦¬μ ννλ‘ λ³νλλ€.
- λ¨ν μ£μ§λ₯Ό λλ² λ―ΈλΆνλ©΄ νΉμ κΈ°μΈκΈ° κ°μ κ°λ ννλ‘ λ³νλλ€.
- μ΄λ μμ κ³Ό λ§λλ μ μ μκ΅μ°¨λΌκ³ λΆλ₯Έλ€.
- μ 리νμλ©΄ μΌκ³λ ν¨μμμ λ΄μ°λ¦¬, μ΄κ³λ ν¨μμμ μκ΅μ°¨λ₯Ό μ°ΎμΌλ©΄ μ£μ§λ₯Ό κ²μΆν μ μλ κ²μ΄λ€.
- λκΊΌμ΄ μ£μ§κ° μμ λ 1κ°μ μ£μ§ μ±λΆμΌλ‘ νννκΈ°μν΄ μ¬μ©νλ€.μ μ΄λ―Έμ§μ μμμμ μ£μ§ μ±λΆμ μ°Ύμλ΄λ³΄μ!

- μ μ΄λ―Έμ§μμ 1μ°¨ λ―ΈλΆμ μννλ©΄ μΌμͺ½μμ μ€λ₯Έμͺ½ λ°©ν₯μΌλ‘ κ³λ¨μ μ£μ§κ° κ²μΆλ κ²μ΄λ€.

- μ΄λ―Έμ§κ° μ£Όμ΄μ‘μ λ 1κ³λν¨μκ°κ³Ό 2κ³λν¨μκ°μ κ³μ°ν μ μλ€.
- μ΄λ―Έμ§μμ 2κ³λν¨μμ μ΅λκ°κ³Ό μ΅μκ°μ ꡬν μ μμλ μ£μ§λ₯Ό κ²μΆν μ μλ€.
- λ€μκ³Ό κ°μ΄ μ€μ Gray μ΄λ―Έμ§μμ λΉ¨κ° μμμμμ λͺ μκ°κ³Ό 1κ³λν¨μκ°μ μ΄ν΄λ³Ό μ μλ€.
- κ·Έμ λ°λΌ μ£μ§ μ±λΆμ΄ μ΄λμ μλμ§λ κ²μΆν΄λ³Ό μ μλ€.

- λ¬Έμ κ° νλ μλ€. μμ£Ό μ‘°κΈμ κ°μ°μμ λ Έμ΄μ¦λ₯Ό μμ μ λλ₯Ό μκ°ν΄λ³΄μ!
- μΌκ³λν¨μλ₯Ό ꡬνλ©΄ λ¬΄μ¨ μΌμ΄ λ°μνλκ°?


- λ Έμ΄μ¦κ° μμ λμλ κ²μΆνκ³ μ νλ μμμ΄ μ λͺ νκ² λ³΄μ΄μ§λ§
- μΌκ³λν¨μκ°(λ―ΈλΆκ°)μ μ λΆλ€ ν¬κ² 보μ΄κΈ° λλ¬Έμ μμμ μ μμ μΌλ‘ κ²μΆνκΈ° μ΄λ ΅λ€.
- κ°μ°μμ λ Έμ΄μ¦κ° μλ μν©μμ μ΄λ»κ² μ£μ§ μ±λΆμ κ²μΆν μ μμκΉ?
- μμ κ°μ μ°κ΅¬λ€μ΄ λ§μ΄ μ΄λ£¨μ΄μ§κ³ μλ€.

- νν°λ λ Έμ΄μ¦μ λ§€μ° λ―Όκ°νκ² λ°μνκΈ° λλ¬Έμ μ£μ§λ₯Ό λ½λ κ³Όμ μμ λ°©ν΄λλ μμμ΄λ€.

- μ£Όμ΄μ§ μμμ μ‘μμ΄ λ§μ κ²½μ°μ μ£μ§ κ²μΆμ μν λ―ΈλΆμ μννκΈ° μ μ κ°μ°μμ νν°λ₯Ό μμ΄λ€. (컨볼루μ )
- λͺ μκ°μ΄ μ λ³΄λ€ λΆλλ½κ² λ°λκΈ°λ λ¨μ μ΄ μ‘΄μ¬νμ§λ§ μ 체μ μΌλ‘ μ‘μμ΄ λ§μ΄ μ κ±°λμλ€.
- νν° μμμ λν΄ 1μ°¨ λ―ΈλΆμ μννμ¬ λ¬Έμ μ μ μ κ±°νμ¬ μνλ μ£μ§λ₯Ό λμΆν μ μλ€.

- 컨볼루μ μ μ νμ μΈ νΉμ±μ κ°κ³ μκΈ° λλ¬Έμ μ°μ° μμλ₯Ό λ°κΏλ λμΌν κ²°κ³Όλ₯Ό λΌ μ μλ€.
- κ°μ°μμ νν°μ λνμ¬ 1μ°¨ λ―ΈλΆκ°μ κ³μ°ν νμ fμ 컨볼루μ μ°μ°μ μννλ©΄
- μ λ³΄λ€ λ μ μ κ³μ°λμΌλ‘ κ°μ κ²°κ³Όλ₯Ό λμΆν μ μλ€.

- 2μ°¨μ μμμ λνμ¬ μμ κ°μ΄ κ°μ°μμνν°λ₯Ό μ¬μ©ν΄μ xμΆκ³Ό yμΆ λ°©ν₯μΌλ‘ νν°λ§νλ©΄ smoothμ μ£μ§ μ±λΆ λΆμμ ν μ μλ€.
- μμμΌλ‘ ννν΄λ³΄λ©΄ λ€μκ³Ό κ°μ νν°μ λͺ¨μ΅μ κ°μΆκ³ μλ€.

- νμ€μμλ μ€λ¬΄λ©μ΄ νμν λμ λνμ¬ λΈν xκ° 2μΈ λ°©ν₯μΌλ‘ κ³μ°νλ€λ©΄ λν¨μλ λ€μκ³Ό κ°μ΄ ννλ μ μλ€.

- xμΆ λ°©ν₯κ³Ό yμΆ λ°©ν₯μ λνμ¬ μ£μ§λ₯Ό ꡬνλ νν°λ₯Ό λμΆν μ μλ€.
- νν°μ λͺ¨μμ΄ μ ν΄μ Έμ μ£Όμ΄μ§ μμμ μ£μ§λ₯Ό ꡬν μ μλ€.

- μΌλ°μ μΌλ‘ xμΆ, yμΆ λ°©ν₯μΌλ‘ λν¨μλ₯Ό ꡬν λ νλ μ νν°λ₯Ό μ¬μ©νλ€.
- μκΈ° μΆμ ν΄λΉλλ ν½μ μ λͺ μκ°μ κ°μ‘°νκΈ° μν΄ μ벨 μ£μ§ νν°μ΄λ€.
- κΈ°λ³Έμ μΌλ‘λ νλ μ, λ€μμΌλ‘λ μ벨 μ£μ§λ₯Ό λ§μ΄ μ¬μ©νλ€.
- λ‘λ²νΈ μ£μ§λ λκ°μ λ°©ν₯μΌλ‘μ μ£μ§λ₯Ό κ³μ°ν΄μ€λ€.
μ£μ§κ° μΌλ§λ κ°νκ³ λ°©ν₯μ΄ μ΄λ»νμ§ μ΄ν΄ν΄λ³΄μ! (μ€μνλ€!)
- κ°λμ λ°©ν₯μ λνλ΄κΈ° μν΄μ κ·Έλ λμΈνΈ(Gradient) κ°λ μ μ¬μ©νλ€.

- λͺ μμ΄ μ΄λμ΄ κ²μμ λ°μ μͺ½μΌλ‘ λ³ν λ
- 첫λ²μ§Έ μ΄λ―Έμ§λ xμΆ, λλ²μ§Έ μ΄λ―Έμ§λ yμΆ λ°©ν₯μΌλ‘ λ³ννκ³ μλ€.
- μ΄λμ΄ μͺ½μμ λ°μ λ°©ν₯μΌλ‘ λͺ μκ°μ΄ λ³ν λ μΌλ§νΌμ ν¬κΈ°μ μ΄λ λ°©ν₯μΌλ‘ λ³νλμ§λ₯Ό λνλ΄λ κ²μ΄ κ·ΈλλμΈνΈμ΄λ€.

- κ·ΈλλμΈνΈλ λͺ μκ°μ λ³νμ΄λ€.
- λ³νλ λͺ μκ°μ μΈκΈ°μ λ³ν, λ°©ν₯μ λ³νλ₯Ό λͺ¨λ νννλ€.
- κ·ΈλλμΈνΈλ 벑ν°μ΄κΈ° λλ¬Έμ ν¬κΈ°μ λ°©ν₯μ κ°κ³ μμΌλ©° μκ° κ°μ΄ κ³μ°λλ€.
- μ£μ§μ κ·ΈλλμΈνΈλ₯Ό ν΅ν΄ μΌλ§νΌ λ³ννκ³ μλμ§ μ μ μλ€.

- κ·ΈλλμΈνΈλ λͺ μκ°μ΄ λ³νλ λ°©ν₯μ΄κΈ° λλ¬Έμ μ£μ§λ κ·ΈλλμΈνΈμ μ§κ΅νλ κ΄κ³λ₯Ό κ°κ³ μλ€.
- κ·ΈλλμΈνΈμ λ°©ν₯μ μλ©΄ μ΄μ μ§κ΅νλ λ°©ν₯μΌλ‘ μ£μ§ μ±λΆλ€μ΄ μΌλ§νΌ ν¬κ² μ΄λ λ°©ν₯μΌλ‘ λ³νλμ§ μ μ μλ€.

- μ벨 λ§μ€ν¬λ xμΆ νΉμ yμΆ λ°©ν₯μΌλ‘ -1, -2, -1 , 0, 0, 0, 1, 2, 1μ΄ λλ κ²μ΄λ€.
- μ£Όμ΄μ§ (5, 3) μ§μ μ μ벨 λ§μ€ν¬λ₯Ό μμ΄λ€λ κ²μ
- dx, dy : μ벨 λ§μ€ν¬λ₯Ό μμ μ λμ κ°
- (5, 3)μ λν ν¬κΈ°μ λ°©ν₯μ ꡬν ν κ·Έλ λμΈνΈ λ°©ν₯μ κ³μ°ν μ μλ€.
- κ·Έλ λμΈνΈ λ°©ν₯κ³Ό μ§κ΅νλ λ°©ν₯μ΄ μ£μ§μ λ°©ν₯μ΄λ€.
- μ벨 μ£μ§μ λν΄μ κ³μ°νμ§λ§ νλ μμ΄λ€ λ‘λ²νΈ μ£μ§λ₯Ό μ¬μ©νλ κ²½μ° κ·ΈλλμΈνΈμ μ£μ§μ λ°©ν₯μ΄ λ¬λΌμ§ μ μλ€.

- xμΆκ³Ό yμΆ λ°©ν₯μ κ·ΈλλμΈνΈλ₯Ό κ°κ³ μ£μ§ κ°λλ₯Ό ννν μ μλ€.
- sqrt(pow(dy, 2) + pow(dx, 2))λ₯Ό κ³μ°νλ©΄ λλ€.
μκ΅μ°¨ μ΄λ‘
- λ¨ν μ£μ§μ λν΄μ 1μ°¨ λ―ΈλΆμ νλ©΄ μ£μ§κ° λμ΄μ§λ λ¬Έμ κ° μμλ€.
- 2μ°¨ λ―ΈλΆμ κ³μ°νμ¬ μ νν λ¨ν μ£μ§λ₯Ό κ³μ°νλ€.
- νν°λ₯Ό ν΅ν΄ μκ΅μ°¨ μ΄λ‘ μ μμλ³΄κ³ μ£μ§ μ±λΆμ΄ μ΄λ»κ² λλμ§ μ μ μλ€.
- μ΄μ μλ μ벨 μ£μ§λ₯Ό μ¬μ©νμ¬ μ£μ§λ₯Ό ꡬνμμ§λ§ μκ΅μ°¨ μ΄λ‘ μ μ¬μ©νλ©΄ νΈνλ€.

- λ―ΈλΆμ μ¬μ©νλ©΄ μ‘μμ΄ μ¦νλκΈ° λλ¬Έμ μ£μ§λ₯Ό ꡬν¨μ μμ΄μ μ‘μμ μ€μ΄κΈ° μνμ¬ κ°μ°μμ μ€λ¬΄λ©μ΄ μ μ©λλ€.

- κ°μ°μμ νν°μ sigma κ°μ λ°λΌ μ£μ§ μμμ΄ μ λμ¬ μλ μλ κ·Έλ μ§ μμ μλ μλ€.

- sigma κ°μ ν΅ν΄ μ€μΌμΌμ μ‘°μ ν μ μλ€.
- sigmaκ° ν¬λ©΄ μ°λ μ«μ μ€λ₯Έ ννλ₯Ό 보μ΄λ©°
- sigmaκ° μμΌλ©΄ μ 체μ μΌλ‘ νΌμ§ ννλ₯Ό μ·¨νκ³ μλ€.
- μ΄μ μ κ°μ°μμ νν°μ λ¨Όμ λ―ΈλΆμ μ μ©ν ν μμκ³Ό 컨볼루μ μμΌμ μ°μ°λμ μ€μ΄λ μμλ₯Ό 보μλλ°
- sigmaκ°μ λ°λΌ κ°μ°μμ νν°μ λ―ΈλΆκ°μ΄ λ¬λΌμ§κ³ μμμ νμΈν μ μλ€.
- 2μ°¨μμΌλ‘ νμ₯νλ©΄ λ€μκ³Ό κ°λ€.

- κ°μ°μμ νν°μ λ§μ€ν¬κ° μμΌλ©΄ μ€μ°¨κ° λ°μνκ³ λ§μ€ν¬μ ν¬κΈ°κ° ν¬λ©΄ μκ°μ΄ μ€λ걸리기 λλ¬Έμ μν©μ λ°λΌ μ‘°μ ν΄μ€ νμκ° μλ€.

- xμΆ λ°©ν₯μ 2μ°¨λ―ΈλΆκ³Ό yμΆ λ°©ν₯μμμ 2μ°¨λ―ΈλΆμ ν©μ λΌνλΌμμ ν¨μλΌκ³ λΆλ₯Έλ€.
- λΌνλΌμμ νν°λ₯Ό μ¬μ©νμ¬ μκ΅μ°¨ μ§μ μ μ°ΎμΌλ©΄ μ½κ² μ£μ§λ₯Ό μ°Ύμ μ μλ€.

- LOG νν°λ Laplacian of Gaussian μ μλ―Ένλ€.
- κ°μ°μμ νν°λ₯Ό 2μ°¨ λ―ΈλΆν΄μ νν°μ ννλ‘ κ°κ³ μμλ μλ―Έμ΄λ€.
- 0κ΅μ°¨λλ μ§μ μ μ°ΎμΌλ©΄ μ£μ§ μ±λΆμ μ°Ύμ μ μλ€.
- μ¦, λ¨ν μ£μ§λ₯Ό μ°Ύμ μ μλ€λ μλ―Έμ΄λ€.
- LOG νν°λ λ€μκ³Ό κ°μ΄ μκ²Όλ€.

- sigmaκ° μ»€μ§μ λ°λΌ νν°μ ν¬κΈ°κ° 컀μ§λ©° μ²λ¦¬ μκ° λν κΈΈμ΄μ§μ μ μ μλ€.

- νν°λ₯Ό λλ Έμ λ 0μ΄ λ§λλ μ§μ μ μ°Ύμμ λͺ¨μλλ©΄ μ£μ§λ₯Ό μ½κ² μ°Ύμ μ μλ€.

- 8x8 μμμμ sigmaκ° 5μΌ λμ 3x3 ν¬κΈ°μ LOG νν°λ₯Ό μ μ©νμ¬ μ»μ μμμ΄λ€.
- 0μ΄ κ΅μ°¨νλ (λΆνΈκ° λ°λλ) μ§μ μ λͺ¨μλ 1 λ€μ΄ μ£μ§ μ±λΆμμ μ μ μλ€.

- νν°μ ν¬κΈ°μ λ°λΌμ μ£μ§ μ±λΆλ€μ΄ μ΄λ»κ² λ¬λΌμ§λμ§ λ³΄μΈλ€.
- sigma μ¦, νν°μ ν¬κΈ°κ° 컀μ§λ©΄ κ°μ°μμ νν°μ ν¬κΈ°κ° 컀μ§κΈ° λλ¬Έμ μμμ΄ λ μ€λ¬΄μ€νκ² λ³νλλ©° μ£μ§κ° λ¨μν΄μ§λ€.
- μκ·Έλ§κ° λ무 ν¬κ±°λ μμ§ μλλ‘ νλ 4κ° κ°μ₯ μ μ ν΄ λ³΄μΈλ€. μ λ΅μ μμΌλ©° μν©μ λ°λΌ λ¬λΌμ§ μ μλ€.
λ°μν
'π₯ Computer Science > Computer Vision' μΉ΄ν κ³ λ¦¬μ λ€λ₯Έ κΈ
| [Computer Vision] Hough Transform (2) | 2021.09.24 |
|---|---|
| [Computer Vision] Edge Detection - Part 2 (0) | 2021.09.22 |
| [Computer Vision] Morphology (2) | 2021.09.17 |
| [Computer Vision] Transform (0) | 2021.09.16 |
| [Computer Vision] Filter - Part 2 (0) | 2021.09.15 |