๋ฐ์ํ
- ์ด์ ์๊ฐ์๋ ํ๋ฆฌ์ ์ฃ์ง, ๋ก๋ฒํธ ์ฃ์ง, ์๋ฒจ ์ฃ์ง๋ฅผ ํ์ตํ๋ค.
- ์ข ๋ ์ ๊ตํ๊ฒ ์ฃ์ง๋ฅผ ์ฐพ์์ฃผ๋ ์ผ๋ ์ฃ์ง์ ๋ํ์ฌ ๋ฐฐ์๋ณด์!

- gradient๋ ๋ฒกํฐ์ ํน์ฑ์ ๊ฐ๊ณ ์๊ณ ์ฃ์ง์ ์ง๊ตํ๋ ์ฑ์ง์ ์ง๋ฐ๋ค๊ณ ๋ฐฐ์ ๋ค.
- ์ฃ์ง์๋ ๋์ด์ง๊ฑฐ๋ ๊ฐ์ง ์ฃ์ง ๊ทธ๋ฆฌ๊ณ ์์ ์ฃ์ง๋ฅผ ์ถฉ์กฑํ ์๋ก ์ข๋ค.
- ์ผ๋ ์ฃ์ง๋ ์๋ฒจ ์ฃ์ง์ ํ๋ฆฌ์ ์ฃ์ง๊ฐ ๊ฐ์ ๋จ์ ์ ๋ณด์ํ๋ฉด์ ์ฃ์ง ๋ํ ์ ์ ๋ณธ์ง์ ์ง์คํ๋ค.

- gradient์ ๋ฐฉํฅ๊ฐ์ ํตํด ํน์ ์ด์์ ๊ฐ๋ง ์ ํํด๋ณด์๋ค.
- ๋ชจ์ ๋ถ๋ถ์ ์ฃ์ง๊ฐ ๊ฒ์ถ๋์ง ์์์ ์์ญ ๊ตฌ๋ถ์ด ์๋๊ณ ์๋ค.
- ๋ชธ์ฒด ๋ถ๋ถ์์ ๋จํ ์ฃ์ง๋ก ์ธํด ๋๊บผ์์ง๋ ๋ฌธ์ ๊ฐ ์๋ค.
- ์ผ๋ ์ฃ์ง๋ ๋์ค์ง ์๋ ์ฃ์ง๋ฅผ ์ ๊ฒ์ถํ๊ณ ๊ตต๊ฒ ํํ๋๋ ์ฃ์ง์ ๋ํด์ ์๊ฒ ํํํ ์ ์์๊น? ๋ฅผ ํด๊ฒฐํด์ค๋ค.

- ์บ๋ ์ฃ์ง๋ฅผ ์ฐพ๋๋ฐ ์์ด์ ์ฒซ๋ฒ์งธ ๊ทธ๋ํ์์ ๋ณด์ด๋ ์ฌ๋ฌ๊ฐ์ ์ฃ์ง๋ฅผ ์ฐพ์์ ๋
- ์ผ์ threshold๋ฅผ ๊ฐ์ผ๋ฉด ๊ทธ ๋ฒ์ ๋งํผ์ ์ฃ์ง๊ฐ ๊ตต๊ฒ ํํ๋ ๊ฒ์ด๋ค.
- threshold๋ฅผ ๋์ฌ์ฃผ๋ฉด ๋๊บผ์ด ์ฃ์ง๋ฅผ ์๊ฒ ๋ง๋ค์ด ์ค ์ ์์ง๋ง
- ๊ฒ์ถ๋๋ ์ฃ์ง๊ฐ ์ค์ด๋ค์ด์ ๋๊น ํ์์ด ๋ฐ์๋ ์ ์๋ค.
- ์ฃผ์ด์ง ์์์์ ๋ถ๋ถ์ (ํน์ ์์ญ)์ผ๋ก ์๋ก ๋ค๋ฅธ threshold๋ฅผ ์ ์ฉํ์ฌ ์ฃ์ง๋ฅผ ๊ฒ์ถํ๋ฉด ํด๊ฒฐ๋๋ค.
- ์ด ๋ Gradient์ norm ์์ญ์ ๊ฐ๊ณ threshold ์์ค์ adaptiveํ๊ฒ ์ ํํด๋ณด์๋ ๊ฒ์ด ์ผ๋ ์ฃ์ง์ ๊ฐ์กฐ์ ์ด๋ค.

- Non-maximum suppression ์ด๋ผ๋ ๊ฐ๋ ์ด ์๋ค.
- ํ์ฌ ์ํ๋ก ์ฃ์ง๋ฅผ ๊ฒ์ถํ๋ฉด ์ฃ์ง์ ๋๊ป๊ฐ ๋๊ป๋๋ก ๊ฒ์ถ๋๋ ๋ฌธ์ ์ ์ด ์๋ค.
- ๋ง์ฝ์ ๋ผ์ธ์์์ Gradient ๊ฐ์ด ๋๋ฌด ์ปค์ ๋จํ ์ฃ์ง๊ฐ ๋ง์ด ๋ฐ์๋ ๊ฒ์ด ์์ธก๋๋ค๋ฉด
- ์ฒซ๋ฒ์งธ: ๋ผ์ธ ์์ญ์์์ local maximum์ ์ฐพ์์ ์ฐ๊ฒฐํด์ฃผ๋ฉด ํ์ค๋ก ํํํ ์ ์๋ค!

- ๊ทธ๋ฆผ์ ๋ชจ์ ๋ถ๋ถ ์ฒ๋ผ ์๋๋ ์ฃ์ง๊ฐ ์์ด์ผ ํ๋๋ฐ threshold ๊ฐ์ด ๋์์ ์ฃ์ง๋ฅผ ๊ฒ์ถํ์ง ๋ชปํ๋ ๊ฒฝ์ฐ๊ฐ ์กด์ฌํ๋ค.
- ์ฃผ๋ณ ์์ญ์ ํน์ฑ์ ๊ณ ๋ คํด์ adaptive ํ๋๋ก threshold๋ฅผ ์ ์ฉํด๋ณด์! => Hysteresis thresholding
- ๋ง์ฝ ์ฃ์ง๊ฐ ๊ตต์ ๋ถ๋ถ์ด๋ผ๋ฉด non-maximum suppression์ ์ฌ์ฉํ์ฌ ํ์ค๋ก ์ค์ฌ์ค๋ค.
- ๋ง์ฝ ์ฃ์ง๊ฐ ์์ ๋ถ๋ถ์ด๋ผ๋ฉด threshold ๊ฐ์ ๋ฎ์ถฐ์ ์ฃ์ง ๊ฒ์ถ์ด ์ ๋๋๋ก ๋์์ค๋ค.

- Hysteresis thresholding์ ์์์ ๊ดํ์ฌ ์ดํด๋ณด์!

- ์ฃผ์ด์ง ์์์์ threshold๋ฅผ ๋์ด๋ฉด ์ฃ์ง๊ฐ ๋๊ธฐ๋ ๋ฌธ์ ๊ฐ ๋ฐ์ํ๋ค.
- ์ฃผ์ด์ง ์์์์ threshold๋ฅผ ๋ฎ์ถ๋ฉด ์์์์ ๋ถํ์ํ ์ฃ์ง๊ฐ ๋ค์ ๊ฒ์ถ๋์ด ํน์ง์ ์ฐพ๋๋ฐ ๋ฐฉํด๊ฐ ๋ ์ ์๋ค.
- ์ฃ์ง๊ฐ ์ ๊ฒ์ถ๋์ง ์๋ ๊ณณ์์๋ threshold๋ฅผ ๋ฎ์ถฐ์ฃผ๊ณ ์ฃ์ง๊ฐ ๋ง์ด ๊ฒ์ถ๋๋ ๊ณณ์์๋ non-maximum suppression ํตํด ํ์ํ ์ฃ์ง๋ฅผ ๊ฒ์ถํด๋ธ๋ค.
- ์ผ๋ ์ฃ์ง๋ ์์ ๊ฐ์ ๋ฐฉ์์ผ๋ก ์ก์์ ์ค์ด๋ฉด์๋ ์ฃ์ง๋ฅผ ์ ๋ฝ์ ์ ์๋๋ก ๋์์ค๋ค.

- Gradient์ norm์ ๋ํ ์ ๋ณด๋ฅผ ๊ฐ๊ณ ์ต์ ํ ๋ฌธ์ ๋ฅผ ํด๊ฒฐํ๋ค.
- ์ต์์ค๋ฅ์จ: ์๋ชป ๋ฝ๋ ์ฃ์ง์ ์ฃ์ง์ธ๋ฐ ๊ฒ์ถ๋์ง ์๋ ๊ฒฝ์ฐ๊ฐ ์๋๋ก ์ฃ์ง๋ฅผ ๋ฝ์๋ณธ๋ค.
- ์์น์ ํ๋: ๊ฒ์ถ๋ ์ฃ์ง๋ ์ค์ ์์์์์ ์์น๊ฐ ๋์ผํด์ผ ํ๋ค.
- ์ฃ์ง ๋๊ป: ์ค์ ์ฃ์ง์ ํด๋น๋๋ ๊ณณ์๋ ํ ๋๊ป์ ์ฃ์ง๋ง ์์ฑํด์ ์ฃ์ง์ ๊ตต๊ธฐ๊ฐ ์ผ์ ํ๋๋ก ํ๋ค.

- ์ผ๋ ์ฃ์ง๋ฅผ ๊ฒ์ถํ๊ธฐ ์ํด ์์ ๊ฐ์ ๊ณผ์ ์ ๊ฑฐ์น๋ค.
- ์ ๋ ฅ ์์์ ๊ฐ์ฐ์์ ์ค๋ฌด๋ฉ์ ์ ์ฉํ์ฌ ์ก์์ ์ ๊ฑฐํ๋ค.
- ์๋ฒจ ์ฐ์ฐ์๋ฅผ ์ ์ฉํ์ฌ ์ฃ์ง ๊ฐ๋์ ์ฃ์ง ๋ฐฉํฅ๋ง์ ๊ตฌํ๋ค.
- ์ฆ, Gradient๋ฅผ ๊ตฌํ๊ณ ์ด์ ์ง๊ตํ๋ ๋ฐฉํฅ์ ๊ตฌํ๋๋ฐ ์ด ๊ณผ์ ์ด sobel ์ฃ์ง๋ฅผ ๊ตฌํ๋ ๊ฒ๊ณผ ๋ง์ฐฌ๊ฐ์ง์ด๋ค.
- ์ฃ์ง์ ๊ตต์ ์์ญ(๊ฑฐ์ง ๋ถ์ )๊ณผ ์๋์ค๋ ์์ญ(๊ฑฐ์ง ๊ธ์ )์ด ๋์์ ๊ณต์กดํ ์ ๋ฐ์ ์๋ค.
- ๊ตต์ ์์ญ์ ํด๊ฒฐํ๊ธฐ์ํด non-maximum suppression์ ์ ์ฉํ๋ค.
- ์ฃ์ง๊ฐ ๊ฒ์ถ๋์ง ์๋ ๋ฌธ์ ๋ฅผ ํด๊ฒฐํ๊ธฐ์ํด ๋ฎ์ threshold๋ฅผ ์ ์ฉํ์ฌ ๊ฒ์ถ๋์ง ์๋ ์ฃ์ง๋ฅผ ๊ฒ์ถํ๋ค.
์ฐธ๊ณ
- ๋น์ต๋ ์ต์ ๋ฐฉ์์ ์ฐธ๊ณ ํ์!

- ๋๊ฐ์ ์๊ณ๊ฐ T_high์ T_low ์ ๊ณ๊ฐ์ ํ์ฉํ๋ค.
- ์ฃ์ง์ ์ถ์ ์ high๋ฅผ ํ์ฉํ๊ณ ์ถ์ ๋์ค ๋์ด์ง ์ฃ์ง๊ฐ ์๋ค๋ฉด low๋ฅผ ์ ์ฉํ์ฌ ์ฃ์ง๋ฅผ ์ฐพ๋๋ค.

- ๊ฐ์ฐ์์ ํํฐ๋ฅผ ์ผ๋งํผ ์์ฉํ๋๊ฐ์ ๋ฐ๋ผ ์ก์์ด ์ค์ด๋๋ ๊ฒ, threshold๋ฅผ ์ ์ฉํ๋ ๊ฒ์ด ๋ฌ๋ผ์ง ์ ์๋ค.

- ์ปฌ๋ฌ ์ฃ์ง๋ R, G, B ์ฑ๋์ ๊ฐ ์ฃ์ง๋ฅผ ๊ฒ์ถํ ํ์ OR ์ฐ์ฐ์ ํตํด ํฉ์ณ์ค๋ค.

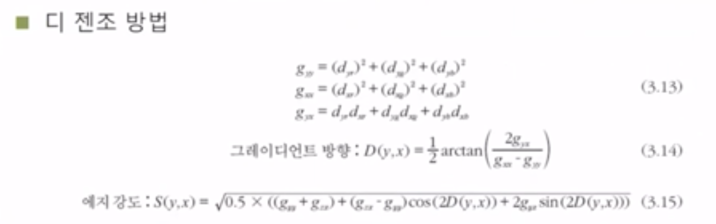
- ๋ ์ ์กฐ ๋ฐฉ๋ฒ์ R, G, B ์ฑ๋์ ๋ํ ๊ทธ๋๋์ธํธ ๋ฐฉํฅ๊ณผ ํฌ๊ธฐ๋ฅผ ๋ํ๋ด๋ ๊ฒ์ด๋ค.

- ๊ฐ์ฐ์์ ํํฐ์ ์ค๋ฌด๋ฉ์ ํ์ฉํ์ฌ ์ฃ์ง๋ฅผ ๊ตฌํ๋ ์์์ด๋ค.
- ์ปฌ๋ฌ์์์ ๊ทธ๋ ์ด ์์์์์ ์ฃ์ง ๊ฒ์ถ ๊ณผ์ ์ ์ปฌ๋ฌ์ ๊ฐ ์ฑ๋์ ๋ํด์ ๋์ผํ๊ฒ ์ ์ฉํ ๊ฒ์ด๋ค.
๋ฐ์ํ
'๐ฅ Computer Science > Computer Vision' ์นดํ ๊ณ ๋ฆฌ์ ๋ค๋ฅธ ๊ธ
| [Computer Vision] Hough Transform (2) | 2021.09.24 |
|---|---|
| [Computer Vision] Edge Detection - Part 1 (1) | 2021.09.21 |
| [Computer Vision] Morphology (2) | 2021.09.17 |
| [Computer Vision] Transform (0) | 2021.09.16 |
| [Computer Vision] Filter - Part 2 (0) | 2021.09.15 |